tel:
+86-18961602506email:
fly03@flynewenergy.comDec 28, 2023
Below 0°C, the energy density and power density of lithium-ion batteries decrease rapidly. At low temperatures below -20°C, the performance of the battery deteriorates significantly. At -40°C, the battery can only discharge 30% or even less of the rated capacity. . Especially for lithium iron phosphate batteries, the material itself is an insulator, with low electronic conductivity, poor lithium ion diffusivity, and poor conductivity at low temperatures, which increases the internal resistance of the battery and is greatly affected by polarization. The charging and discharging of the battery are hindered, so low temperatures Performance is not ideal.
In order to further demonstrate the factors affecting the low temperature of lithium-ion batteries, this paper discusses the impact of lithium iron phosphate materials with different primary particle sizes on the low-temperature performance of lithium batteries, the impact of artificial graphite anodes with different particle sizes on the low-temperature performance of lithium batteries, and the impact of different primary particle sizes on the low-temperature performance of lithium batteries. Effects of the type and content of carboxylic acid ester solvent electrolytes on the low-temperature performance of lithium batteries.
1 experiment
1.1 Battery preparation
The positive active material used in the experiment is lithium iron phosphate with different primary particle sizes. The negative active material is carbon-coated artificial graphite with different D50. The electrolyte is 1.1 mol/L LiPF6/different solvent ratios and types. The selected solvents are: EC, EMC, DMC, EP, MP, PP, PA, the additive is 2%VC+1%PC+1%FEC. The specific parameters and program implementation are detailed below.
Mix five kinds of lithium iron phosphate materials with different primary particle sizes, the conductive agent Super P, the binder PVDF, and the dispersant PVP according to the mass ratio of 93.8:3.5:2.5:0.2, and use NMP as the solvent to form a positive electrode slurry. Coated on 15μm carbon-coated aluminum foil, design different coating amounts according to the specific capacity of the active material to ensure the same capacity per unit area, rolling, tableting and baking (110℃@24h).
Carbon-coated artificial graphite with different D50 is mixed with the conductive agent Super P, CMC and SBR according to the mass ratio of 94.4:2.0:1.6:2.0, and deionized water is used as the solvent to form a negative electrode slurry, which is coated on a 6 μm copper foil On the surface, different coating amounts are designed according to the specific capacity of the active material withholding mass, so as to ensure the same capacity per unit area, rolling, tableting, and baking (100℃@24h).
Assemble the positive and negative electrode sheets and separator stacks into a battery core, dry it and then inject electrolyte. The electrolyte formula is 1.1 mol/L LiPF6, the solvent system and type are different, and the additives are 2%VC+1%PC+1%FEC. After leaving it aside, the battery is first formed with a current of C/10, and then charged and discharged with a current of C/5 and C/2 to form a stable SEI film. See below for battery preparation protocol.
1.2 Analysis of physical and chemical properties of materials
Use a laser particle size analyzer to test the particle size of the material; use a surface area meter to test the surface area of the material. Scanning electron microscopy was used to characterize the morphology and primary particle size of the lithium iron phosphate cathode.
1.3 Electrical performance test
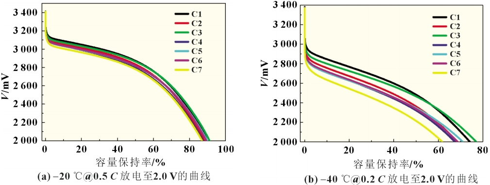
Low-temperature discharge test: In an environment of normal temperature (25±2)℃, the experimental battery is charged at a constant current of 1C to 3.65V, then charged at a constant voltage to 0.05C, left for 10 minutes, then discharged at a rate of 1C to 2.0V, and cycled according to the above steps 3 times, ending with full charge. After being left in a low temperature (-40±2)°C environment for 18 hours, discharge it to 2.0V at 0.2C, and record the discharge capacity and median discharge voltage.
Low-temperature charging test: First, under normal temperature (25 ± 2) ℃, the experimental battery is charged to 3.65V at a constant current of 1C, then charged to a constant voltage of 0.05C, left for 10 minutes, and then discharged to 2.0V at a rate of 1C. Follow the above The steps are repeated three times and end in the discharge state. Secondly, after leaving it in a low temperature (-20±2)℃ environment for 18 hours, charge it to 3.65V at a constant current of 0.5C, then charge it to a constant voltage of 0.05C, leave it for 10 minutes, and then discharge it to 2.0V at a rate of 0.5C. Follow the above steps. Cycle 3 times and record the low temperature charging capacity.
2 Results and discussion
2.1 The impact of primary particle size of lithium iron phosphate on low-temperature performance of batteries
As can be seen from the SEM electron microscope image in Figure 1, the primary particle sizes of the five types of lithium iron phosphate are 50~100nm, 80~150nm, 100~300nm, 200~400nm, and 400~800nm.







